EfficientDet 톺아보기 1
EfficientDet
(EfficientDet: Scalable and Efficient Object Detection)
EfficientNet
EfficientNet을 보기전에 EfficientNet의 핵심 concept을 빠르게 보고 넘어가는게 좋을 것 같다.
이진원님의 pr12 논문 읽기를 참조 했다.
EfficientNet은 Convolution Neural Network를 속도나 정확도 측면에서 network의 depth와 width, resolution을 조절해서 효과적이게 만들어 보자는 핵심 아이디어를 가지고 있다.
즉, depth, width, resolution의 scale을 조절하는 compound scaling 방법에 대한 논문이다.
depth: 모델의 깊이width: layer의 channelsresolution: input image resolution
위에 compound scaling이 이 논문이 원하는 것이고 이것을 위해 해결해야하는 문제를 아래와 같이 정의한다.
CNN
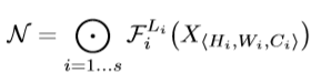
- i : stage
- \(F_{i}^{L_i}\) : layer \(F_i\)는 stage i에서 \(L_i\)만큼 반복된다는 뜻
- \(X\) : input tensor
- \(H, W, C\) : spatial dimension(w, h), chnnel dimension(c)
- example : input tensor(244, 224, 3) –> output tensor(7, 7, 512)
ResNet으로 예를들면 ResNet은 5stage가 있고 각 stage는 downsampling을 하는 것 빼고는 동일한 convolution type을 갖는다. 그래서 위와 같이 정의할 수 있는 것이다.
Problem
- hat을 붙이는 이유는 이미 정의한 base model을 사용하고 있기 때문이다.
- 연산량을 정해놓은 목표 안에서 정확성을 최대화 시키는 값을 찾는다는 뜻이다.
이 그래프는 depth, width, resolution을 각자 올려보면서 성능을 평가한 것이다. 커질수록 올라가지만 어느지점에서 한계가 보인다.
Compound Scaling
이 문제를 해결하기 위해서 아래와 같이 network의 depth와 width,resolution을 조절해서 최적의 모델을 찾는 것이다.
depth: \(d = \alpha^\phi\)
width: \(w = \beta^\phi\)
resolution: \(r = \gamma^\phi\)
\[\alpha \cdot \beta^2 \cdot \gamma^2 \approx 2\] \[\alpha \geq 1,\beta \geq 1,\gamma \geq 1\]\(\alpha , \beta , \gamma\)는 grid search를 통해서 찾은 값.
\(\phi\)는 직접 결정하는 값
Base Model
base model 기준으로 최적의 depth, width, resolution을 찾아가는 것이다. base model은 구조를 MnasNet과 유사하게 만들었고 여기서 나오는 MBConv는 MobileNetv2에서 나온 inverted bottleneck 구조다.
처음에는 \(\phi\)값을 1로하고 \(\alpha,\beta,\gamma\)값을 grid search로 찾은 뒤 고정시키고 \(\phi\)를 조금씩 올리는 방법을 사용한다.
Benchmark
ImageNet에서의 performance다. 파라미터수가 기존 모델에 비해 작지만 그 이상의 성능을 가진다.
데이터셋 별로 비교한 표
CAM
기존 방법에 비해 compound scaling을 사용하면 맨 마지막 열에 있는 그림과 같이 매우 class의 형태를 잘찾는 것을 알 수 있다. CAM에 대해서는 흥미가 있어서 포스트를 작성해볼 예정이다.
적다보니 길어져서 EfficientDet은 그 다음 포스트로 미뤄야 할 것 같다.
